
Implementing a strategy-based execution framework in the healthcare industry is crucial for achieving organizational goals, improving patient outcomes, and ensuring sustained success.
Setting measurable goals is crucial for the healthcare industry to track progress, improve patient outcomes, enhance operational efficiency, and meet regulatory requirements. Measurable goals help healthcare organizations quantify their achievements and focus efforts on specific, achievable targets. Here are examples of measurable goals for the healthcare industry:
The Healthcare Industry can adopt objectives and Key Results (OKRs) as one such goal-setting framework. OKRs consist of high-level objectives and measurable key results that help organizations focus on outcomes and track progress. Here are examples of objectives and key results for the healthcare industry:
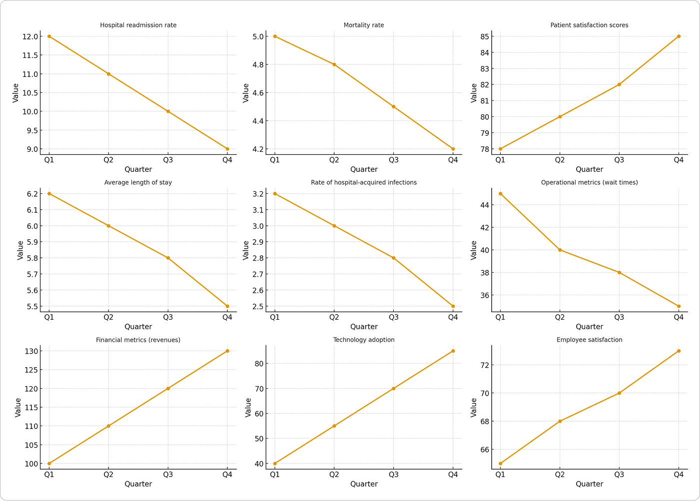
Key Performance Indicators (KPIs) in the healthcare industry are essential metrics that help organizations assess their performance, measure progress, and make informed decisions. Here are some key performance indicators for various aspects of the healthcare industry:

The percentage of patients readmitted to the hospital within a specified period after discharge.
Decrease readmission rates to less than a certain percentage.

The percentage of patients readmitted to the hospital within a specified period after discharge.
Decrease readmission rates to less than a certain percentage.

The percentage of patients readmitted to the hospital within a specified period after discharge.
Decrease readmission rates to less than a certain percentage.

The percentage of patients readmitted to the hospital within a specified period after discharge.
Decrease readmission rates to less than a certain percentage.

The percentage of patients readmitted to the hospital within a specified period after discharge.
Decrease readmission rates to less than a certain percentage.

The percentage of patients readmitted to the hospital within a specified period after discharge.
Decrease readmission rates to less than a certain percentage.
These KPIs provide a comprehensive overview of healthcare performance, encompassing clinical quality, operational efficiency, financial health, data management, employee satisfaction, and community engagement. Regular monitoring and analysis of these indicators are critical for healthcare organizations to identify areas for improvement and ensure the delivery of high-quality, efficient, and patient-centered care.
While strategy-based execution offers numerous benefits for the healthcare industry, several views or concerns can be raised against its adoption. Here are some common arguments against the adoption of strategy-based execution in healthcare:
Strategic alignment in the healthcare industry ensures that organizational goals, processes, and resources are synchronized to achieve optimal outcomes. Realizing the benefits of strategic alignment in healthcare can lead to improved patient care, enhanced operational efficiency, and better overall performance. Here are key benefits that healthcare organizations can realize through strategic alignment:


Strategy planning and execution is a complex endeavor. We designed and integrated a strategy to Define, Plan, Execute, Evaluate, and Monitor organizational strategies, linking, cascading, and reporting the utilization of the organization’s capabilities and resources. Developed by seasoned Enterprise Architects, we incorporated lessons learned from supporting complex matrix organizations (Government and Commercial enterprises) with a single objective to remove complexities in a Strategic Management process, enable transparency, promote accountability, and improve data-driven decision capabilities at all levels of the organization.